《大佛顶首楞严经》-经文、注解、开示、读诵-资料汇集  
若能转物,则同如来,身心圆明,不动道场。于一毛端,遍能含受十方国土。
首页 | 《楞严经》原文 | 《楞严经咒》难字 | 《楞严经咒》读诵 | 古大德注疏 | 近现代注解 | 单章精义 | 相关经论 | 持诵修习 | 会员中心
  当前位置:《首楞严经》资料站首页《楞严经咒》难字《楞严咒》读音释文 → 文章内容
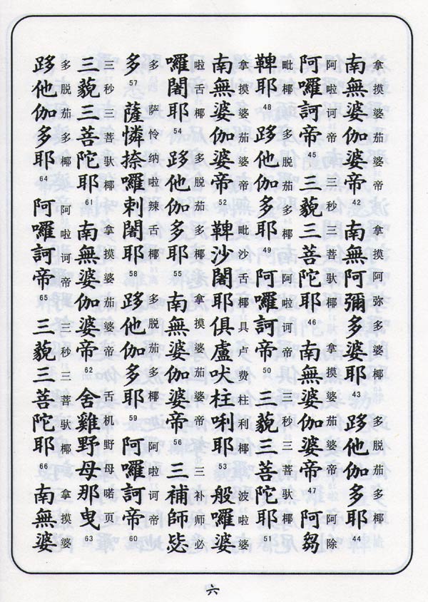
《楞严咒》汉字音译(扫描)
来源: 作者: 发布日期:2008-03-02  

《楞严咒》汉字音译(扫描) 


  以下《楞严咒》汉字音译,由本站扫描自《大佛顶首楞严咒简疏》(2007年第4版,16开版,此书附录有一版本说明可点击打开)。仅供不熟悉汉语拼音的初学者参考。

  对应的JPG图片整体打包下载地址:《楞严咒》汉字音译(扫描).rar

  特别声明:本站搜集和提供的《楞严咒》读音标注,不保证绝对准确,仅供大家参考!同时,建议跟读mp3录音学《楞严咒》进展较快,点击这里参看各版本《楞严咒》mp3


以下还有11页,请点击下一页转入后续扫描页


共2页: 上一页 1 [2] 下一页
上一篇:念佛人可否读《首楞严经》   下一篇:《楞严经》精确校对.定稿文件下载(DOC/PDF/JPG三种格式)
[收藏] [推荐] [评论(1条)] [返回顶部]
南无本师释迦牟尼佛 南无楞严会上佛菩萨 南无十方三世一切佛菩萨
  热点文章
·《楞严咒》注音-版本1(扫描)-
·《楞严咒》注音-版本1(拼音)
·《楞严咒》易背诵版
·《楞严咒》注音-版本2(依据宣化
·楞严咒心之梵文(扫描jpg)
·楞严咒句偈(宣化上人)
·《楞严咒》汉字音译(文字)
·楞严咒译释(文珠法师讲述)
·《楞严咒》简疏JPG扫描(打包下
  相关文章
·《楞严咒》简疏JPG扫描(打包下
·《楞严咒》易背诵版
·楞严咒心之梵文(扫描jpg)
·楞严咒句偈(宣化上人)
·楞严咒译释(文珠法师讲述)
·《楞严咒》注音-版本1(扫描)-
·《楞严咒》注音-版本1(拼音)
·《楞严咒》注音-版本2(依据宣化
·《楞严咒》汉字音译(文字)
SLYJ.org专题资料站 | 蜀ICP备08004340号 | 站长联系方式